تصميم ومهارة الاتصال الفعّال
تصميم نظم الاتصال والهياكل التنظيمية:
هناك عدة نماذج أو نظم للاتّصال يمكن أن توجد في المنظّمة منها الأشكال التّالية:

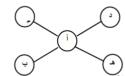
1- نموذج على شكل عجلة :
حيث يوجد عضو اتصال في الوسط ( أ ) وأربعة أعضاء آخرين على الإطار (ب - ج - د - هـ ) وفي هذا النّموذج يسمح للعضو ( أ ) أن يتّصل بأيّ فرد من الأعضاء الأربعة ولكن لا يستطيع كلّ منهم إلا الاتصال بـ ( أ ) فقط.
2- نموذج على شكل دائرة :
وفيه يسمح لكلّ فرد أن يتصل بالفرد الذي على يمينه أو على يساره مثل طبيعة الاتصال بين العمّال على خطّ الإنتاج إذا كانت مواقع وحدات العمل متباعدة نسبيّاً.
مهارة الاتصال في التدريب:
بناءً على تعريف الاتصال فإنّه يمكننا أن نُعرّف التّدريب بأنّه نقل محتوى تدريبي أو مهارة تدريبيّة من شخص (المدرّب) إلى شخص/ أشخاص آخرين (متدرّبين) بحيث يتمّ فهم محتوى أو اكتساب المهارة بشكل صحيح من قبل المتدرّبين. وبالرّجوع إلى مكوّنات دائرة الاتصال وربطها بالتّدريب يمكن الوصول إلى الآتي:
1- الهدف:
من الضّروري أن يكون الهدف من الاتصال في التّدريب معروفاً قبل البدء فيه، وبشكل عام فإنّ هدف التدريب يجب أن يكون:
• محدّداً.
• مُصاغاً بأسلوبٍ واضح.
• يتناسب مع قدرات المدرّب.
• يتناسب مع احتياجات المتدرّب.
• يمكن تحقيقه في الإطار العام للتّدريب.
2- المُرسل (المدرب):
هو الّذي يقوم بنقل الرّسالة (المحتوى التدريبي) من خلال قناة اتصال (أساليب التّدريب) إلى المتلقّين (المتدرّبين). ويعتبر المدرّب محور عمليّة الاتصال التّدريبي.
3- الرسالة (المحتوى التّدريبي):
يجب أن يتمّ إعدادها ومراجعتها مسبقاً قبل عرضها على المتدرّبين، ويجب أن تكون واضحة ومحدّدة وقابلة للتّطبيق بواسطة المتدرب؛ ولذلك يجب مراعاة اختيار المعينات التّدريبيّة وأساليب التّدريب المناسبة لتوصيل المحتوى أو المهارة للمتدرّبين بصورة بسيطة وسهلة.
4- قناة الاتصال (أسلوب التّدريب):
عبارة عن الأداة/ المعينات التّدريبيّة أو أساليب التّدريب التي تمّ استخدامها من قبل المدرّب في توصيل المحتوى التّدريبي أو المهارة للمتدرّبين، ويجب على المدرّب أن يراعي الفروق الفرديّة بين المتدرّبين وذلك عند اختياره قناة الاتصال/أساليب التدريب/ والمعينات التّدريبيّة في توصيل المحتوى التّدريبي أو المهارة المحدّدة.
5- المتلقّين (المتدرّبين):
هم الأفراد الّذين يتلقّون المحتوى التّدريبي أو المهارة أو الاتجاه المحدّد والذين يُتوقّع منهم استيعاب ذلك وإظهار ما يدلّ على الفهم (التغذية الراجعة) ثمّ تطبيق ما يتمّ التّدريب عليه.
6- التّغذية الرّاجعة:
وهي ما يصدر عن المتلقّي (المتدرّب) والذي يفيد بأنّه تلقّى المحتوى التّدريبي واستوعبه تماماً.
7- الاستجابة:
هي ما سيقوم المتدرّب بأدائه من مهام/ مهارات/ أعمال/ اتجاهات نتيجة لما اكتسبه من خلال التّدريب.
8- بيئة الاتصال (بيئة التّدريب):
وهي كلّ المؤثّرات المحيطة بالمكان والأفراد المرتبطين بالتّدريب من تجهيزات القاعة، الأجهزة والمعدّات، حالة الجوّ، الخدمات، والتّسهيلات المتوفّرة... إلخ.
تدريب
2105قراءة
2015-12-16 20:17:40