12 سنة من العطاء

 

جديد المواضيع

المدربين >> أشكال الاتّصالات التّنظيميّة

أشكال الاتّصالات التّنظيميّة


قام كلّ من بافلز وباريت (1951م) وليفيت (1962م) ببعض البحوث حول الاتّصالات وأهميّتها في صنع القرارات.

وكشفت هذه البحوث أنّ التّنظيم اللامركزي أكثر فاعليّة في حلّ المشكلات المعقّدة، وذكر العديلي (1416هـ، 462-463) إلى أنّ تلك الدّراسات أظهرت عدّة أنماط الاتّصالات جميعها تقريباً تستند على الأنماط الأربعة التّالية:

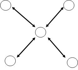
1. النّمط الأوّل (شكل العجلة):

وهذا النمط يتيح لعضو واحد في المحور ( أو الرئيس أو المشرف ) أن يتصل بأعضاء المجموعة الآخرين، ولا يستطيع أعضاء المجموعة في هذا النّمط الاتّصال المباشر إلا بالرّئيس، أي أنّ الاتّصال يتمّ فيما بينهم عن طريقه فقط، واستخدام هذا الأسلوب يجعل سلطة إتّخاذ القرار تتركّز في يد الرّئيس أو المدير.


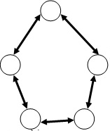
2. النّمط الثّاني (شكل الدائرة):

وهذا النّمط يكون فيه كلّ عضو مرتبط بعضوين، أي أنّ كلّ فرد يستطيع أن يتّصل إتّصالاً مباشراً بشخصين آخرين، ويمكن الاتّصال ببقيّة أعضاء المجموعة بواسطة أحد الأفراد الذي يتّصل بهم إتصالاً مباشراً.

 

3. النّمط الثّالث (شكل السّلسلة):

وفي هذا النّمط يكون جميع الأعضاء في خطٍ واحد، حيث لا يستطيع أيّ منهم الاتصال المباشر بفرد آخر (أو بفردين)، إلا إذا كان أحد الأفراد الذين يمثّلون مراكز مهمّة، ويلاحظ أنّ الفرد الذي يقع في وسط (منتصف) السّلسلة يملك النّفوذ والتّأثير الأكبر في منصبه الوسطي.

 

 

4 - النمط الرابع ( شكل الكامل المتشابك ):

في هذا النّمط يتاح لكلّ أفراد التّنظيم أو المنظّمة (الجهاز) الاتّصال المباشر بأي فرد فيها، بمعنى آخر إنّ الاتّصال هنا يتّجه إلى كلّ الاتّجاهات، غير أنّ استخدام هذا النّمط يؤدّي إلى البطء في عمليّة توصيل المعلومات، وإلى إمكانيّة زيادة التّحريف فيها، وبالتّالي يقلّل من الوصول إلى قرارات سليمة وفعّالة.

 

تدريب
1951قراءة
2015-12-12 15:56:11

تعليقات الزوار


إعلانات

 

 

12 سنة من العطاء

إستبيان

تواصل معنا